Ene 20 2010

LA PRESA DE LA PUEBLA DE CAZALLA “SUELTA AGUA”

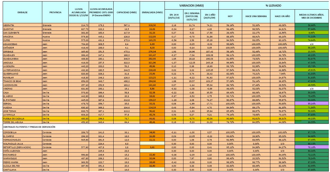
Después de los 450 litros de precipitación, la presa de la Puebla de Cazalla ha llegado casi al 100% de su capacidad, el pasado fin de semana estaba aliviando agua como se puede ver en las imágenes. Puedes consultar además los dos enlaces siguientes con datos de nivel, precipitación en la zona del pantano y otros de la Agencia Andaluza del Agua.

IMAGEN CON DATOS DE LA PRESA A 20 DE ENERO DE 2010

ARCHIVO DE CALIDAD DE AGUA DEL MES DE DICIEMBRE 2009

Un comentario

Un comentario en “LA PRESA DE LA PUEBLA DE CAZALLA “SUELTA AGUA””

  1. Francisco Veredasel 12 Ago 2012 a las 17:24

    Desde hace unos días ando “bicheando” el acceso al Embalse de La Puebla, aquí en la provincia de Sevilla. Ya he llegado hasta el en varias ocasiones pero en bicicleta o andando, por lo que me interesaba ver la opción de llegar en coche para navegarlo.
    Aquí haré una pausa para aclarar que este embalse está entre los permitidos para la navegación, no solo con kayaks, si no con embarcaciones de hasta 50 CV. Según consta en la documentación que he recibido hace unos días de la CHG, que es la que concede el permiso para la Cuenca del Guadalquivir y todo su ambito.
    Pues bien, de esa forma me acerqué hasta la Puebla de Cazalla, donde abandonando la A-92 has de coger por una carreterilla, en bastante mal estado, y tras 16km y medio millón de curvas llegas al susodicho pantano.
    ¿Y que?
    Pues que te encuentras con una cancela con muchos letreros de prohibido todo.
    Justo en ese punto, otra cancela, abierta aunque también con sus “jodíos” carteles, da paso a una casa donde había un coche de Medio Ambiente. Pues “pa’dentro”, con cuidado y educación, eso sí.
    Ya frente a la puerta de la casa, como un magnifico ejemplar de perro me salió a recibir, permanecí en el coche porque ademas veía luz por las ventanas.
    Un par de toques a la bocina y algunos gritos de ¡Hola!, confié en que harían fijar la atención de alguien en mi presencia.
    .- ¡¡¡Y un mojón “pa” mi!!!
    Casi diez minutos, de reloj, intentando hacerme notar. Y el diplodocus perruno, cada vez más nervioso. Y yo, cada vez más “cagao”.
    Total, que gracias a que soy un cobarde y ya me “jarté” de estar allí invocando al Dios del Embalse, aquí me tenéis entre defraudado y cabreado.

Escribe un comentario

Normas de uso:
1. Esta es la opinión de los internautas, no de el blogmorisco.es
2. No está permitido verter comentarios contrarios a las leyes españolas o injuriantes.
3. Reservado el derecho a eliminar los comentarios que consideremos fuera de tema.

*